【圖文分享】MOS管參數μCox計算方法-KIA MOS管
信息來源:本站 日期:2022-06-08
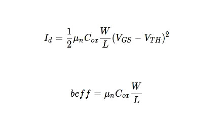
MOS管溝道飽和區電流ID(不考慮非理想效應)
首先在原理圖中放上器件,以NMOS為例子,同時分別設置好NMOS溝道長度和寬度,還有將對應器件電壓也設置成變量,設成變量方面后面仿真條件下修改參數。


需要關注的參數是beff和betaeff,其中beff就是平方率關系對應的理想參數(完全不考慮溝道調制效應等,是可以計算過后發現,用得到的閾值電壓還有Id算出來完全符合平方率關系對應的理想值),betaeff是修正的跨導模型參數,畢竟現在模型不是以前的那種簡單模型了。
MOS管溝道飽和區電流ID
聯系方式:鄒先生
聯系電話:0755-83888366-8022
手機:18123972950
QQ:2880195519
聯系地址:深圳市福田區車公廟天安數碼城天吉大廈CD座5C1
請搜微信公眾號:“KIA半導體”或掃一掃下圖“關注”官方微信公眾號
請“關注”官方微信公眾號:提供 MOS管 技術幫助
免責聲明:本網站部分文章或圖片來源其它出處,如有侵權,請聯系刪除。
