【分享】詳解RC充電與放電時間計算-KIA MOS管
信息來源:本站 日期:2022-05-24
RC充放電時間常數
串聯RC電路的時間常數是一個固定的時間間隔,等于電阻和電容的乘積。其公式為:
式中,τ為RC充放電時間常數,單位是S;R為電阻,單位是Ω;C為電容,單位是F。
RL充放電時間常數
串聯RL電路的時間常數是一個固定的時間間隔,等于電感對電阻的比值。其公式為:
式中,τ為RL充放電時間常數,單位是S;L為電感,單位是H;R為電阻,單位是Ω。
RC與RL充放電通用公式
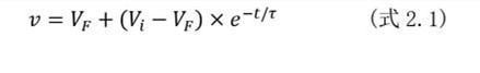
RC與RL充放電瞬時電壓通用公式
式中,v是電容器或電感器電壓在某個時間的瞬時值,單位是V;VF是電容器或電感器電壓終值,單位是V;Vi是電容器或電感器電壓的初始值,單位是V;e是自然對數的底,t為充放電時間,單位s;τ為電容器或電感器充放電時間常數,單位是s。
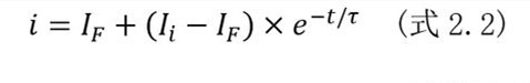
RC與RL充放電瞬時電流通用公式
式中,i是電容器或電感器電流在某個時間t的瞬時值,單位是A;IF是電容器或電感器電流終值,單位是A;Ii是電容器或電感器電流的初始值,單位是A;e是自然對數的底,t為充放電時間,單位s;τ為電容器或電感器充放電時間常數,單位是s。
圖1-1 RC充放電電路
例: 圖1-1是RC充電與放電電路,請按要求計算下列各題:
【1】 RC充電時間常數和RC放電時間常數分別等于多少?
解:由于充電與放電回路為同一個電容器,并且充電電阻和放電電阻的阻值相同,所以τ充等于τ放,根據RC充放電時間常數公式得:
τ充=τ放 = RC = 1kΩ.1mF = 1S。
答:RC充電時間常數和放電時間常數相等,均為τ=1S。
【2】向左按下S2鍵給C2兩端充滿6.3V電壓時,需要多長時間?
解:從題意知,向左按下S2, C2的初始電壓Vi = 0V,終值電壓VF=10V,充電t時間后的瞬時電壓v=6.3V,又知第一題求得τ充 = 1S,求充電時間t。將上述已知量代入RC充放電電壓通用公式,可得:
求得t≈2S。
答:把C2兩端從6.3V電壓放到0.88V時,需要2S時間。
聯系方式:鄒先生
聯系電話:0755-83888366-8022
手機:18123972950
QQ:2880195519
聯系地址:深圳市福田區車公廟天安數碼城天吉大廈CD座5C1
請搜微信公眾號:“KIA半導體”或掃一掃下圖“關注”官方微信公眾號
請“關注”官方微信公眾號:提供 MOS管 技術幫助
免責聲明:本網站部分文章或圖片來源其它出處,如有侵權,請聯系刪除。
