雙脈沖測試電路原理及波形示意圖-KIA MOS管
信息來源:本站 日期:2022-05-26
功率器件的很多動態參數可以從器件的數據手冊中獲取,但是器件手冊只給出特定測試條件下的動態參數。當功率回路電壓和電流、驅動回路的電壓、電阻和外部電容等參數變化時,器件的開關時間也將產生變化,因此在設計時有必要對器件的特定工況進行雙脈沖測試,獲取更加真實的性能。
雙脈沖測試有以下作用:
(1) 對比不同產品的參數;
(2) 評估驅動電路的功能和性能;
(3) 獲取 SiC MOSFET 在開通和關斷過程中的主要參數,以評估柵極電阻取值是否合適;
(4) 開通和關斷過程是否有不合適的振蕩;
(5) 評估二極管的反向恢復特性和安全裕量;
(6) 測試 SiC MOSFET 的電壓尖峰;
(7) 評估 SiC MOSFET 并聯均流特性;
(8) 測量母排的雜散電感。
其中 RG,int為內部柵極電阻,RG,ext為外部柵極電阻,CGS柵極-源極電容,CGD為柵極-漏極電容,CDS為漏極-源極電容,LG、LD和 LS分別為柵極、漏極和源極的引線電感,CD1為續流二極管結電容,Lloop為功率主回路寄生電感,L 為負載電感。
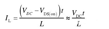
在第一個脈沖信號來臨之前,電感電流為 0,SiC MOSFET 阻斷并承受直流母線電壓。直到 t1時刻,器件開始導通,電感電流按照式規律變化,即隨時間按線性規律增加。
式中 VDS(on)---SiC MOSFET 導通壓降;
t2 時刻,開關管開始關斷并換流至二極管 D1,流經開關管的電流變為 0,負載電感的電流經過二極管 D1續流。
由于續流階段電流回路存在一定的電阻,電流將會有一定程度的減小,但此階段極短,而且寄生電阻量很小,因此電流減小量可以忽略,近似認為 t2和 t3時刻電流相等。
t3 時刻,第二個脈沖信號使開關管開通,續流二極管開始關斷,電感電流換流至開關管并繼續按照線性規律增加。
t4 時刻,開關管再次關斷,電流從開關管換流至續流二極管 D1,雙脈沖測試結束。
聯系方式:鄒先生
聯系電話:0755-83888366-8022
手機:18123972950
QQ:2880195519
聯系地址:深圳市福田區車公廟天安數碼城天吉大廈CD座5C1
請搜微信公眾號:“KIA半導體”或掃一掃下圖“關注”官方微信公眾號
請“關注”官方微信公眾號:提供 MOS管 技術幫助
免責聲明:本網站部分文章或圖片來源其它出處,如有侵權,請聯系刪除。
